
By Carolina Quijano
I am very proud of my parallel parking skills. I’ve been known to get a compliment (or three) about the incredible deftness and quickness with which I can park any car into any spot. Some may say that I’m proud to the point of being cocky, but I earned those bragging rights: My father made me learn parallel parking by practicing between two soda cans — a challenge issued as punishment for my sassy teen, know-it-all attitude. He was so proud when I finally got it right; I think the only other time I’ve seen him prouder was the day I graduated college.
Everyone has their own trick to weasel into a parking spot, with tips ranging from using the parked cars as indicators to keeping your car straight until the final moment of whipping your car into a spot to even calculating exact angles to fit into the space. But did you know there’s an actual formula to help get you into that spot each and every time?
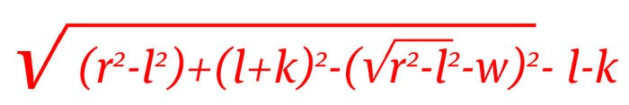
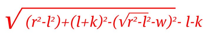
According to a University of London study, there are a few factors that go into how much space a car needs to parallel park and most are related to the car you’re driving: turning radius (r), wheelbase type (l) and front wheel distance from front of the car (k) are things to consider when aiming to fit into a spot. Couple those with the width of the car in front of you (w), and you have the perfect parallel parking equation:

Makes total sense, right? Well, if you’re like me and not mathematically inclined, here is the translation of that formula, in plain old English.
1. Pull past the spot in which you want to park, lining up your back tire to the bumper of the car parked in front. Turn your wheel all the way to the right/curb.
2. Start backing up until your right back tire is aligned with the curbside of the front car. Straighten the wheel and continue to back up.
3. When the driver side lines up with the front car, turn the wheel the opposite way to help fully straighten and align.
4. Voila! you’re done.
Pretty much the same practice I use, but I tend to pull my car forward until my bumper is in line with the driver side door of the front parked car. That’s just my personal preference and I have a 100% success rate. Just saying.
If you’re not a master of this craft, you might not have to worry too much longer: Google has debuted a driverless car that’s programmed to do everything, including parallel parking. This car features the latest in technology and is equipped with just two buttons: one to start the car and the other to stop it in emergency situations. That’s it. But until we’re all driving (or should I say not driving?) these cars, do us all a favor and brush up on your parallel parking skills.
Via: Road and Track
